等你下课 提示:按f11切换浏览器全屏模式.

相关图片

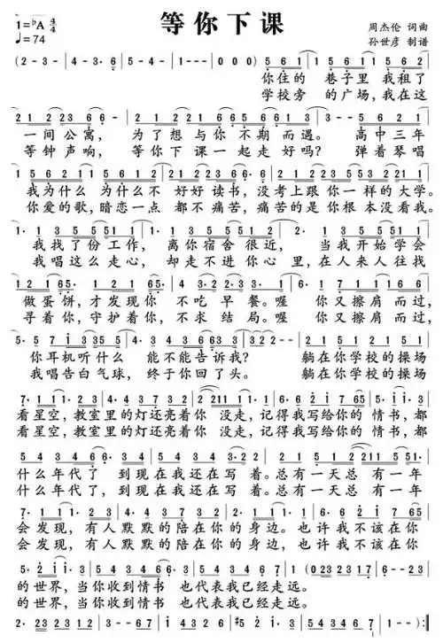
等你下课_简谱_搜谱网

等你下课简谱-周杰伦演唱-孙世彦制谱2

等你下课简谱周杰伦演唱歌曲

等你下课周杰伦简谱己上线500800010226

等你下课吉他谱_g调_周杰伦_吉他弹唱原版六线谱曲谱图片第1张

随机推荐

《再见瓦城》入围最佳影片 柯震东欲穿红内裤争影帝

绿色护眼自然风光图片桌面壁纸

可爱卡通q版手绘人物png素材 韩系风格设计eps高清矢量文件素材

smile笑脸

幽灵 可爱鬼鬼 情侣头像 - 高清图片,堆糖,美图壁纸兴趣社区

网友走进河南洛阳嵩县神奇的石头部落

歌手王二妮23岁成名放弃百万年薪下嫁农村丈夫如今过得怎样

神奇宝贝传说宝可梦宝可梦传说