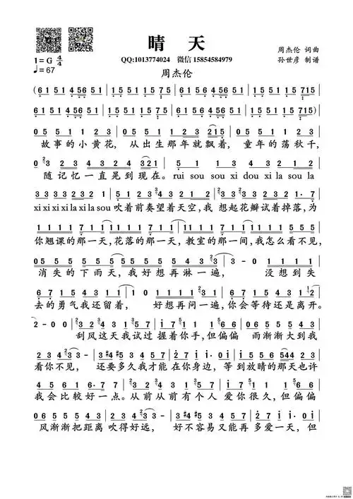
周杰伦晴天简谱及歌词

相关图片

晴天歌词精编版

晴天歌词

周杰伦晴天歌词简谱

ai绘画96《晴天》刮风这天我试过握着你手但偏偏雨渐渐大到我 - 抖

晴天

随机推荐

周星驰朱茵大话西游海报 怀旧经典电影海报复古牛皮纸海报装饰画

刘亦菲|梦回富家千金白秀珠

徐仁国ingukseo

meland club(常州万象城店)!亲子乐园!3次498 - 抖音

清新 b>个人简历 /b>封面

86版西游记的女演员里你觉得哪些特别漂亮

35岁张庭,性感魅力风情四溢!

一只冲天天兔花见时节花嫁lolita高跟鞋尖头优雅lolita洛丽塔鞋类