螺纹螺距

相关图片

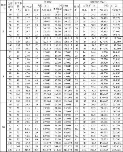
公制螺纹螺距表

梯形螺纹基本尺寸表螺距2-5

梯形螺纹基本尺寸表螺距6-10

公制螺纹螺距规格

螺纹标准螺距表

随机推荐

好莱坞着名影星成龙,高清图片,壁纸 - 酷酷桌面

适合喜欢可爱的卡通人物的情侣一左一右头像图片

张天爱cos貂蝉性感撩人写真图片79

回顾安徽女巨人比姚明高10公分穿78码大鞋遗憾是没真心朋友

陈乔恩和老公骑电车逛街,称自己是小朋友,网友:真爱不分年龄

【刘宇宁-迪丽热巴】"如果我不是乔晶晶如果我不是明星就可以是吗"

孟婆-少女#动漫壁纸 #绝美壁纸 #二次元 #动漫美图 #美 - 抖音

封神演义电视剧封神演义电视剧剧情介绍