28种常见有机物分子结构模型

相关图片

28种常见有机物分子结构模型

28种常见有机物分子结构模型

28种常见有机物分子结构模型

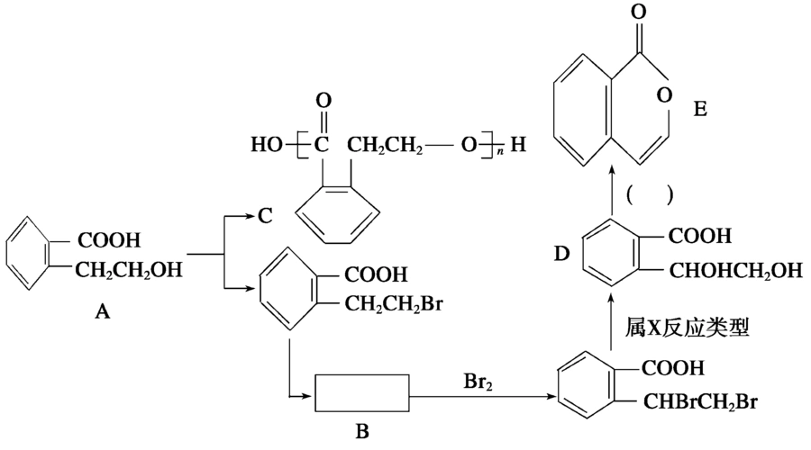
有机物甲的结构简式如下.

有机金属框架结构手性催化研究进展

随机推荐

传说警笛头scp收容基金会失效手办玩具scp6789怪物汽笛人紧急头模型

玉女周慧敏颜值巅峰写真集合

如图 稿帅哥

五月天t恤男女2023演唱会mayday周边应援短袖26周年纪念干杯半袖

【奶茶】大头儿子俄罗斯奇遇记~大头儿子拍全家福游戏: 【奶茶】大头

最美证件照西装模板图片-最美证件照西装免抠素材下载_懒人图库

兄妹头像师徒头像情侣头像也可