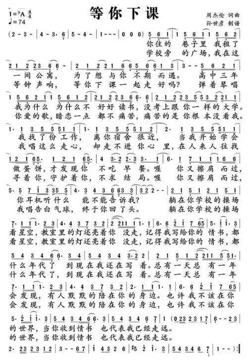
等你下课(2018中国好声音版)_简谱

相关图片

等你下课 提示:按f11切换浏览器全屏模式.

等你下课_简谱_搜谱网

等你下课简谱-周杰伦演唱-孙世彦制谱2

等你下课简谱-周杰伦演唱-孙世彦制谱1

周杰伦等你下课简谱

随机推荐

原标题:陈伟霆才是整容最成功的男星!蒜头鼻动过"无数刀子"

19977615 行程70 长沙7615北京蔡徐坤工作室无惧议论

景甜_新浪新闻

素描入门,苹果素描步骤图

五月天阿信 陈信宏

疫情期间|疫情期间宅在家追剧的说说不出门宅在家追剧的心情说说

q版 夏目贵志 猫咪老师 狐面 浴衣

李知恩 iu cr.嗑颜大魔王 - 堆糖,美图壁纸兴趣社区