长在女性后背上的痣有什么说法 痣相解析

相关图片

最简单和最全面的身体各部位痣相图解痣相女人脖子部痣相图解

女人山根(鼻子)代表夫星,此处不宜有痣,有痣不仅肺功能不佳,而且怕有

女人全身痣相图解--身上的"痣相"长在不见光位置如耳垂,耳背,眼眉下

大腿长痣代表什末 左大腿内侧有痣平安顺利 女人左腿内侧长痣,就是长

"千金难买5颗痣",男人生财,女人生金,福泽子子辈辈!

随机推荐

戚薇的包是个方向盘#戚薇出发录制浪姐机场图,全黑造型又飒又酷,方向

平安字的繁体怎么写

两杯啤酒在低灯光酒吧和餐馆的朋友之间一起干杯.

最美的金鱼动态图.祝福大家金玉满堂,年年有余!

画张侧脸

泽塔奥特曼花絮:捷德和泽塔震撼的胯下镜头是如何拍摄的?

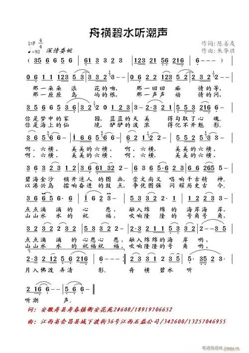
2013年第42号《舟横碧水听潮声》陈善友词 曲 歌谱简谱网

干货分享 一儿一女的亲子头像想要自取哈#抖音小助手 - 抖音