蒙古歌手名单女歌手 蒙古国美女歌手演唱鸿雁-图片大观-奇异网

相关图片

从央视宠儿到无人问津乌兰图雅到底经历经历了些什么

1984年1月1日出生于内蒙古鄂尔多斯市伊金霍洛旗,中国蒙古族女歌手

乌兰图雅,同样是一位蒙古族女歌手,她的声音与乌兰托娅十分相似,但是

蒙古歌手*阿茹娜*精彩艺术图片

哈琳中国内地蒙古族女歌手

随机推荐

男人过了40岁,发型尽量不要留寸头,油头,换成这些才优雅有格调

张杰- 堆糖,美图壁纸兴趣社区

匹得邦莫匹罗星软膏15g局部抗生素脓包疖肿毛囊炎皮肤感染湿疹w

晚上好图片大全晚上好祝福晚上好问候

李沁一身条纹上衣搭配牛仔短裤,变身阳光美少女,美腿撩人

天生塌鼻头,之前想做但是因为怕一直没有勇气,不得不_圈子-新氧美容

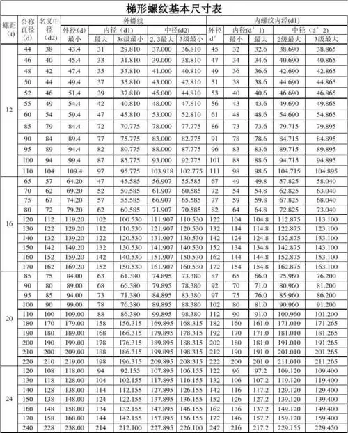
梯形螺纹基本尺寸表12-24

云飞草原歌碟光盘 新歌无损 车载唱片cd 38.0元 原价:38.