撒娇二十四连!_哔哩哔哩_bilibili

相关图片

可爱秋田君跳跳文字~撒娇

超萌的语气,配上可爱的文字表情,撒娇时借用一下,感觉不要太好.

撒娇的文字

表情|撒娇表情包可爱

想对你撒娇想抱着你._文字图片_我要个性网

随机推荐

刷爆你们朋友圈的《绣春刀2》,其实要从四十年前的胡金铨说起

4.刘德华vs陈慧琳

二次元女生高清全屏壁纸

肖战好像被胁迫了#各种各样的表情包来投喂啦,真的很搞笑呀,我说谋换

杨紫终于选对风格,机场穿搭美出新高度,显瘦又显高级!_身材_服饰_特点

动漫头像 | 女生头像 热爱世间万物,无偏爱,无例外.

邓超元

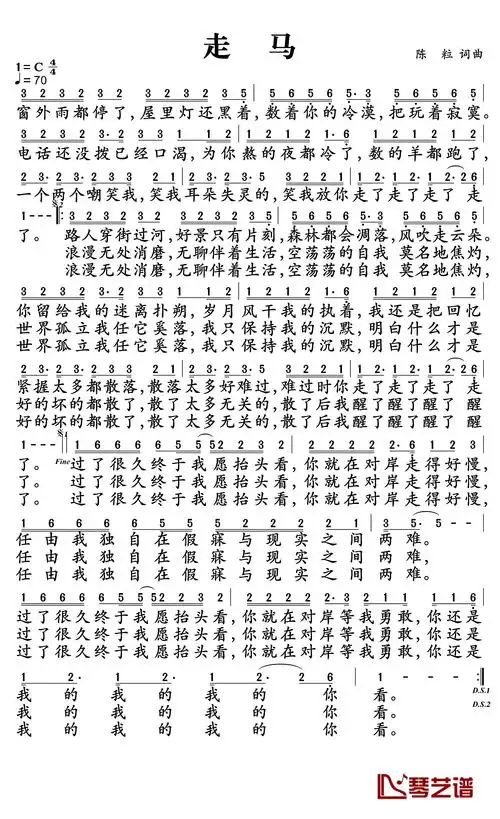
走马简谱-陈粒-散了后我醒了醒了醒了-简谱网