神秘占星术:神秘文化典藏系列

相关图片

朱占星作报告

朱占星在静园坚持的好运气没有结果的时候,自我质疑是常态.

大数据教育联盟2017年度工作总结

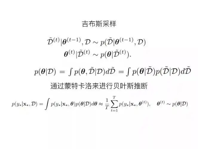
深度学习基础及若干前沿问题第二节朱占星

会上,北京大学特聘研究员朱占星,清华大学助理教授黄高,旷视科技

随机推荐

刘亦菲时尚芭莎仙气十足写真图片桌面壁纸

科比携手周杰伦跨界比拼 上演篮球与音乐饕宴

girl跑男来了美图蔡徐坤粉丝团官微官微蔡徐坤全球粉丝后援会后援会

李英爱

郭富城的神仙摇头杀!太上头了

儿童剪纸手工折纸手工3-4-5-6岁宝宝手工制作幼儿园益智早教玩具_6折

魔兽争霸也能体验魔兽世界地图?民间大神用重制版传神还原!_视频

蒙面人神秘的蒙面人戴着黑色面具,手里拿着两个白色面具.