Warning: session_start(): open(/tmp/sess_7lgecetb3ejp3l02ir8khog2a7, O_RDWR) failed: No space left on device (28) in /www/wwwroot/www.nnbbaa.com/config.php on line 2

Warning: session_start(): Failed to read session data: files (path: ) in /www/wwwroot/www.nnbbaa.com/config.php on line 2
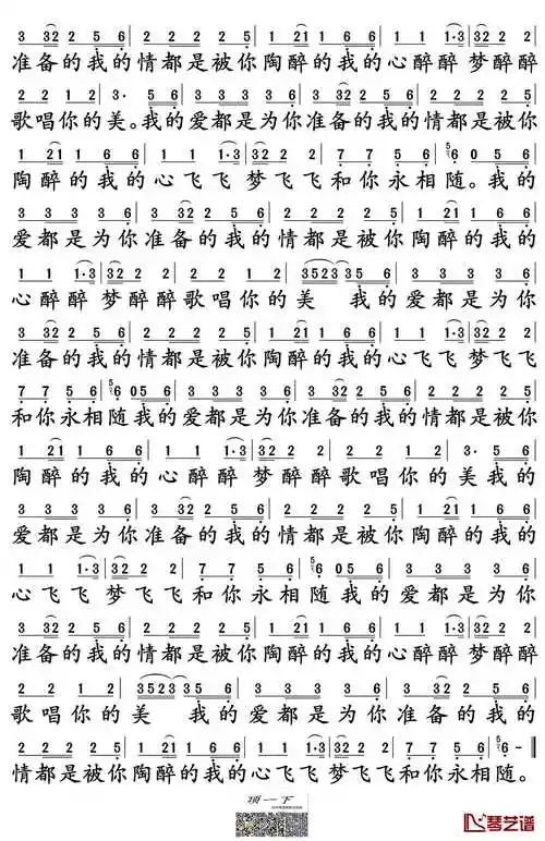
歌在飞简谱-苏勒亚其其格演唱-孙世彦制谱2 - 能吧图片库

歌在飞简谱-苏勒亚其其格演唱-孙世彦制谱2

相关图片

歌在飞

66.《歌在飞》

歌在飞_简谱_用户传谱 | 搜谱——打造全国最大的歌谱搜索引擎

歌在飞的曲谱_陶笛曲谱12孔

歌在飞简谱歌谱下载

随机推荐

全身侧面的美丽年轻亚洲女人.

天能电池logo图片

青色背景,垂直图像的彩色纹理.青色.

反传销霄云驳自愿连锁业,资本运作传销的洗脑套路(图文)

露天阳台玻璃护栏设计图片

琳琳小鬼-王琳凯 93lilghost丨琳控研究所 sweater @小鬼

小学六年级一般过去时与一般现在时对比讲解练习

sunnee杨芸晴表情包