twins-下一站天后吉他谱1-g调指法

相关图片

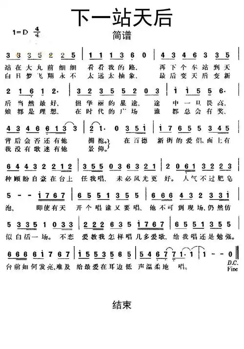
下一站天后简谱乐谱

下一站天后 歌曲类 简谱

下一站天后 _下一站天后 简谱_下一站天后 吉他谱_钢琴谱-查字典简谱

下一站天后_下一站天后简谱_下一站天后吉他谱_钢琴谱-查字典简谱网

下一站天后 歌谱简谱网

随机推荐

易烊千玺 q版

赵丽颖公开行程受期待,街头骑行超惬意,笑靥如花美如初恋_儿子_网友

定制舞台音响套装大功率1215寸演出专业户外婚庆学校会议ktv店铺

泉州海丝艺术公园

从宋公明到杜月笙:九百年沧桑变幻,如何铸就相同的人生境遇?

正本提单电放保函(样本) (1)

云顶之弈一图看懂s5装备效果合成列表

亚麻色分享显白低调有质感的发色