衡水体中文模板怎么练

相关图片

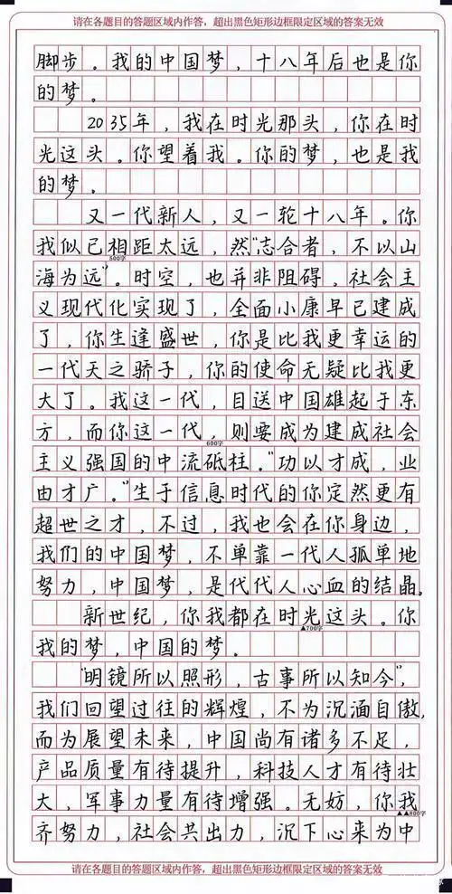
高考"衡水体"有必要吗,浪费时间?阅卷老师:看了都不忍扣分

"衡水体"是近些年兴起的一个网络字体名词,之所以取这个名字,是因为

高考最受欢迎衡水体优秀的学生不仅成绩好原来书法还是一流的美

语文衡水体 七八九年级初一初二初三 每日一练 字体漂亮 语文字帖中考

"衡水体"为你的作文 "画龙点睛"

随机推荐

盘点成龙精彩打戏武打巨星成龙用生命演义了中国武术实在佩服

绿色系壁纸 对眼睛太友好了叭

分析!胡可的第一个丈夫"夏花依旧"

发声练习 ● 1234 mi ● 50 mi mi ya 5432 mi ma ya

烤串卡通图片

李健,一个电视剧狂飙中的扮演者,其实是一个非常低调的演员.

haizovich作品中国古建筑

佛系字车贴修行汽车装饰贴纸防水防晒阿弥陀佛六字真言观音菩萨