jis b0216-1987 米制梯形螺纹

相关图片

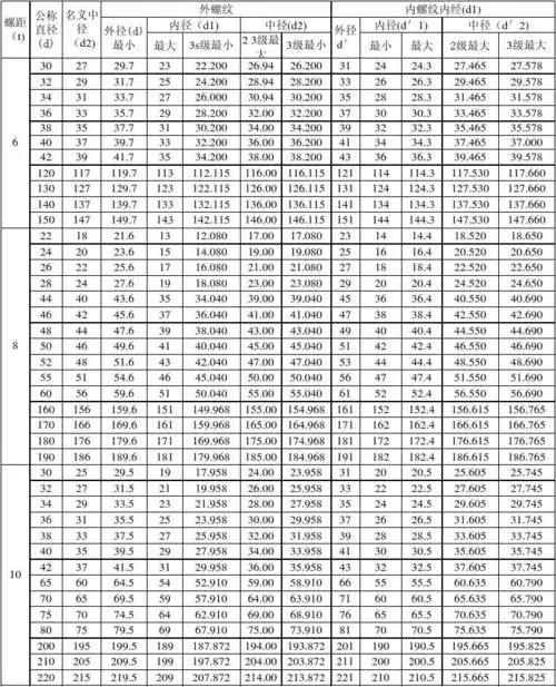
梯形螺纹基本尺寸表螺距6-10

梯形螺纹(内外螺纹)基本尺寸表螺距2-24

梯形螺纹基本尺寸表12-24

梯形螺纹基本尺寸表

公制螺纹螺距表

随机推荐

三星堆玉器权威鉴定

20岁的朱茵到底有多美,看到最后你会爱上她

我来分享几套胡一天在民国奇探里我最喜欢的路垚穿搭

华为mate40系列壁纸

日漫火影忍者主要角色鸣人高清个人电脑壁纸火影忍者鸣人

《天空之城》竹笛版——王华(初音未来动态壁纸横版)

赵露思在《神隐》里面红衣妆造,显得非常的好有气场,超级期待霸气的凤

女子小队阴沟里翻船被鬼子俘虏,遭受了女特务非人的折磨|王珂|抗战片