你真伟大歌曲

相关图片

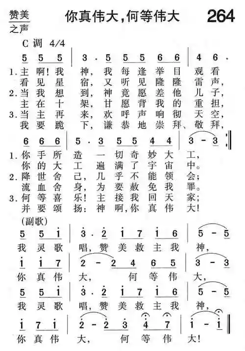
你真伟大 歌谱 简谱

下载008你真伟大歌谱

歌谱上传信息:南窗听雨(编辑)查看更多>>(你真伟大(四声部全首伴奏))

你真伟大,何等伟大) / 南窗听雨编辑相关歌谱:[简谱]第2011首 -主

092你真伟大 提示:按f11切换浏览器全屏模式.

随机推荐

【博君一肖】王一博 素描

黑白动漫 男生 线稿 铅笔画

"侧颜女王"倪妮登时尚杂志,"珍珠妆"复古优雅,彰显时尚女时尚_白色

韩剧宫彩信夫妇cut合集ep16

易烊千玺活动造型,撑伞走红毯,黑色西装搭配花纹衬衣

国际庄等公交车定律,神准!最后一个震惊了.

推荐叹号警示标签牌危险区域标志注意安全标识贴纸三角形daz-k003

中国古建筑不追求永恒,古建筑的魅力让我们一起通过精彩的摄影作品