天主教歌曲(天主教歌曲今生跟随主耶稣)

相关图片

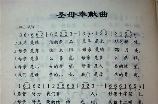
歌曲名称为第69首 -今生跟随主耶稣,歌谱类型为简谱

第315首 - 今生跟随主耶稣 简谱大字版_简谱_乐谱吧

歌谱 恩泉佳音 赞美诗网迎接主耶稣光临圣殿,今生跟随主耶稣 歌谱

天主教歌曲(天主教歌曲今生跟随主耶稣)

全能的主耶稣) / 南窗听雨编辑相关歌谱:[简谱]第328首 -全能的主

随机推荐

png素材英文字母b (13)

汪涵:从封神一哥到"翻车"倒地,他的结局和眼神不好脱不了干系_节目

有了小孩之后就更容易念旧,对于自己童年的回忆只能是一些模糊的片段

已续更wlop鬼刀高清壁纸系列4k8k都有不多说看图全知乎放上来最多最好

英雄联盟手游:上单王者英雄,墨菲特上单解析

我想问一下,下两张图片分别是宁丹琳的那两部电视剧里的剧照

人间蜜桃崔雪莉ins

葵园博物枕边课科学革命的序幕伽利略捍卫哥白尼学说