3.28电量显示

相关图片

iphone4s电池电量问题

iphone手机电池电量显示不正常怎么办?

电量显示电池充电4k视频通道合成

电池电量的显示如下

雅迪电动车电量显示怎么看

随机推荐

格尔木,世界上面积最大城市,因青藏公路诞生,通向世界屋脊

美女写真,女星模特,美女,韩国,电脑壁纸,壁纸韩国女明星伊恩惠

新品 中老年女装牛仔外套春秋大码妈妈风衣褂新款婆婆职业百搭潮兜【3

绘画达人用200多张画还原蔡徐坤打篮球,这也太牛了吧!

包饺子,自己做的好吃.

作文纸稿纸 彩色_个性a4彩色作文纸300格信纸学生花纹带图案稿纸可

郑爽现身机场 瘦骨嶙峋手指皮包骨吓人

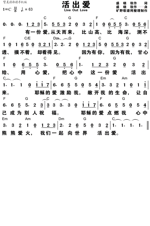
活出爱简谱基督教谱