丝杆螺距是什么?

相关图片

六角螺栓视觉检测螺距测量螺纹检测维视智造

螺纹包括五个要素:牙型,公称直径,线数,螺距或导程,旋向#抖 - 抖音

thk原装折机模组kr30-200/280/300/400/500/600螺距10

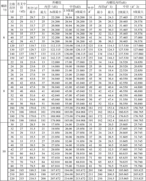
螺纹标准螺距表

公制螺纹螺距表

随机推荐

古天乐完美诠释,帅和肤色没有关系,不同肤色有不同的韵味插图4

短发修剪

鲻鱼头假发女短发日系狼尾头自然蓬松帅气修脸男女通用cos全头套

蓝色经典高端共赢未来创意微粒体求职岗位竞聘简历ppt模板课件

生日女生送女友朋友闺蜜男实用特别的网红创意妈妈母亲节创意礼物

ins全屏壁纸

华为路由器tc7102移动版tc7206全千兆家用无线wifi6路由双频3000m

重庆大龙坎老火锅图片 - 第1张