网易云音乐

相关图片

宏愿怎么读

实现你的宏愿,那是我向往的未来;跟随你的脚步,那是我难忘的花开.

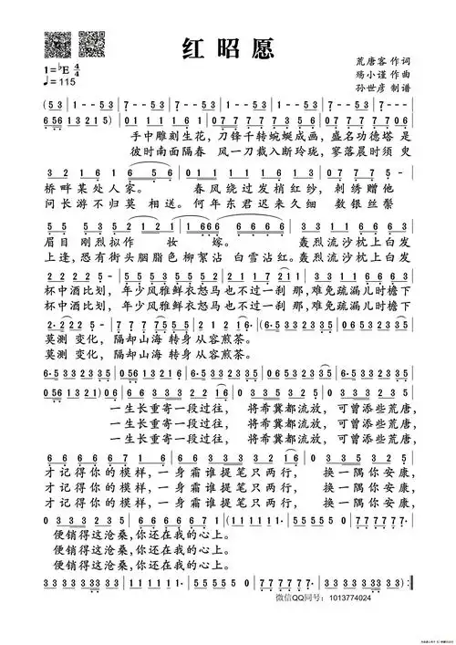
宏愿_宏愿简谱_宏愿吉他谱_钢琴谱-查字典简谱网

琴谱

唱首宏愿可好

随机推荐

伤心 抽泣 擦眼泪 王源 王牌对王牌 综艺 表情包

鞠婧祎甜美乖巧迷人写真,图片大全,高清,图库-回车桌面

近日,一对积怨已久的邻居在临邑法院握手言和,一起邻里之间的侵权纠纷

王一博百里弘毅#wyb#王一博风起洛阳#【2021年11月26日《今日博馈》

图解 红烧菜谱 材料:大虾仁300g,西兰花1个,葱30g 洗虾用材料:淀粉

红色手工|红船

杨超越

blackpink团体照合集祝出道五周年快乐