f(x)=2cos2x x∈(π/6,π/3)求值域,用图像法

相关图片

cos2分之兀等于多少

高一数学cos二分之21π等于多少

在三角形abc中,cos(二分之a)的平方=

余弦二倍角公式:cos2α等于什么?

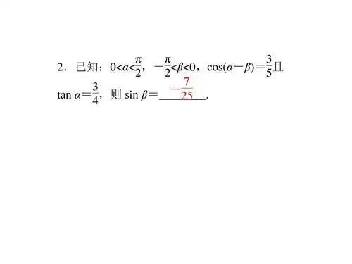
已知:0 α 2,-2 β 0,cos(α-β)=5且 tan α=4,则 sin β=

随机推荐

[分享]天空中翱翔的鹰,适用于海报,画册等![1600*1200]

服装品牌标识之一图片

《神鹰反恐特战队》曝机密装备 被赞很拉风

动漫黑暗系少女头像(共20张)

九阳ndd-11p05t豆浆机使用说明书

《神机之金兰决》开机 李萌萌步履不停开启新征程

小清新碎花少女学生泳衣女保守遮肚高腰韩版新款裙式分体平角三件套小

2024年"锁骨发"火了!