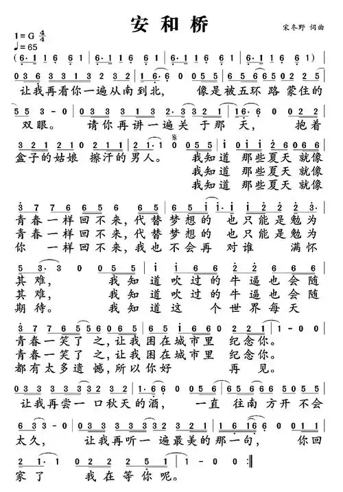
安和桥简谱

相关图片

安和桥简谱

安河桥

笛子教学第二期丨安和桥

安河桥卡林巴演奏简谱乐谱

安和桥四合一吉他谱木棉道琴行

随机推荐

孙俪长发造型惊艳亮相,吊带裙尽显优雅气质,美回颜值巅峰

杨过的这只雕也不好演,大热天也得穿上这个,有时一个镜头拍几个小时.

古装汉服美女嬉戏花丛娇羞唯美写真

马嘉祺西装制服

小男人爱上了大女人,一段虐心的姐弟恋情缘(第三集)

酒店饭店菜单双面模板下载-编号927261-众图网

戚薇发生日美图!她中性酷飒但身材火辣也能如此性感

动漫头像女仙气可爱萌系图片