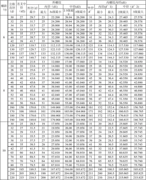
公制螺纹螺距表

相关图片

标准螺距参数表

常用标准螺纹螺距对照表

无忧文档 所有分类 工程科技 机械/仪表 螺纹牙距表 螺距(p):为相邻牙

常用标准螺纹螺距对照表

螺纹螺距对照表

随机推荐

陪每个小朋友一起长大 tfboys 每个小朋友都要好好长大 tnt 本文为我

可爱动物简笔画.#跟着抖音学画画 #图文伙伴计划 #一起学画 - 抖音

风景 日落 太阳 夜晚 人 唯美风景4k壁纸,是彼岸图网给您推荐的高清4k

angelababy杨颖登上mini bazaar《时尚芭莎》六月刊封面.

新华社照片,多哈,2019年3月30日3月30日,许昕在比赛中回球.

可爱的卡通鬼,可爱的卡通鬼

马尔代夫海滩蓝色系海景唯美风景图片

茶水摊|来自2010年未来派对邀约