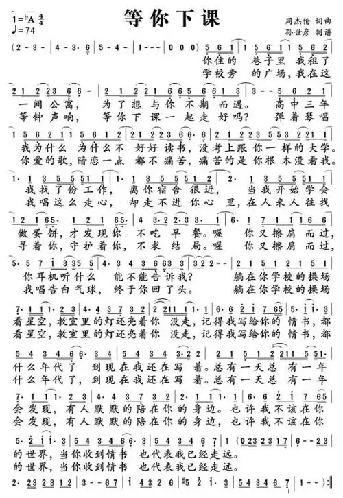
等你下课-周杰伦双手简谱预览

相关图片

等你下课(2018中国好声音版)_简谱

等你下课_简谱_搜谱网

《等你下课》简谱(周杰伦演唱歌曲)

简谱等你下课

周杰伦等你下课简谱在哪看周杰伦等你下课钢琴曲谱

随机推荐

桃花姬食品品牌代言人任嘉伦

汶川地震爆发时被埋36天的猪坚强活了13年现状如何

9岁韩红投奔奶奶临终前她告诫一定多做善事做一个善良的人

好家伙张艺兴演唱会上直接玩蔡徐坤背带裤的梗伴舞的回应来了

黎明下身穿黑色细腿裤,搭配出了上松下紧的感觉,留着短发,整个人都

抖音快手微信头像女生专属姓氏谐音头像梗卡通动漫女神头像设计

爱琴海最璀璨的明珠 - 圣托里尼 - santorini - grece. 08/2014

服装平面设计图校服学生服制式夏装矢量格式