十五首·动态歌词排版 【王一博生贺礼·给啵啵攒好运】

相关图片

手写歌词|像阳光那样&王一博 想一天换八次壁纸 这组图出来的时候只

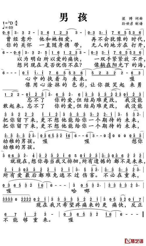
男孩简谱梁 博原创特 扎心的一首歌仅前奏就路转粉了1

王一博唱的我就更喜欢了超级好听而且歌词真的很戳人呜呜呜呜致敬无名

王一博新歌##音乐嗨聊

王一博专属歌词背景图,太有感觉了

随机推荐

换上编发盘发造型,怎么看怎么唯美浪漫,极具小清新风格的一款盘发发型

黄圣依晒素颜健身照露蚂蚁腰##黄圣依马尾辫素颜照

才播2集拿下热度榜第3古装剧都这样拍何愁没观众

金星秀:黄舒骏老婆年轻漂亮,儿子活泼可爱,金星一脸羡慕!

王玉雯##王玉雯7天涨粉9万##王子奇王玉雯你给我的喜欢庆功宴##母给

only沙海 梁湾 杨蓉㏕e

2022早春新款v领法式白衬衫士女长袖叠穿内搭pds计别致设重感磅上

国内知名营养专家顾中一与国家队运动营养师周瑾就美国大杏仁营养信息