螺纹标准螺距表

相关图片

无忧文档 所有分类 工程科技 机械/仪表 螺纹牙距表 螺距(p):为相邻牙

标准螺距参数表

螺丝攻牙螺距规格

000 26.000 28.000 30.000 32公制螺纹粗牙 公称尺寸 m 螺距 p m1 m1.

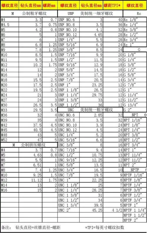
常用螺纹尺寸和钻头选用表

随机推荐

张艺兴现身遭大量粉丝围拍,助理大喊"让一让,镜头都怼脸上了"

微信热门表情包别嘴硬了

微博之夜神图诞生!李冰冰c位,肖战靠边站,黄晓明地位不受影响

手绘礼服效果图71

绘画素材|软萌q版人物坐姿模板大合集!78 来啦来啦!

杨幂爆出大瓜!

部队万能检讨书3000字五篇doc

杨紫 #任嘉伦 #追剧 #追剧打卡 #剧荒推荐 #古装电视剧 #天乩