青岛十大特色小吃,海鲜卤面上榜,第九是清凉消暑佳品_美食_第一排行榜

相关图片

青岛特色小吃大全(青岛最具特色的8种美食,鲜香味美,吃过3种以上的算

山东青岛十大必吃特色美食小吃,看看你吃过几种?

青岛饮食(青岛必尝的10大美食小吃!

青岛旅行"美食指南",有什么小吃?有什么特色菜?给您详细解读

青岛小吃

随机推荐

李易峰可爱犯规事件##if丸子相册整理倒计时##挑战每天按相册顺序发

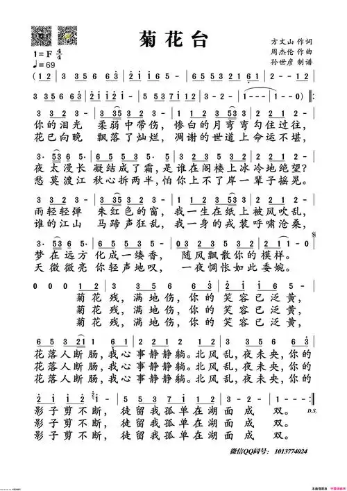
菊花台简谱

巴渝干锅馆干锅鸡杂

国庆节手工制作幼儿园diy材料包爱国主题童心向党8开儿童纽扣画 国e款

1664啤酒 白啤酒 罐装 500ml*12听 整箱装

【音画诗赏】七彩莲花,为您盛开

中华人民共和国结婚证

遗憾了,《白发青天》将无缘拍摄,金超群包青天将迎终局