宝宝生日发朋友圈的句子 孩子生日妈妈感慨的话50条

相关图片

过生日时适合发的高逼格的说说图片

过生日时适合发的高逼格的说说图片

生日致自己的唯美句子生日感慨发朋友圈致自己

自己生日的说说配图朋友圈生日快乐祝自己的话配图

儿子生日感慨发朋友圈过完生日的感慨说说文库

随机推荐

郭晶晶遭霍家赶出家门,净身出户惹争议,本人回应:太解气了.

王俊凯动漫图收集整理来自:阮兔画师见水印侵删

陪伴吴青峰的家人最后和吴青峰解约还背叛了吴青峰

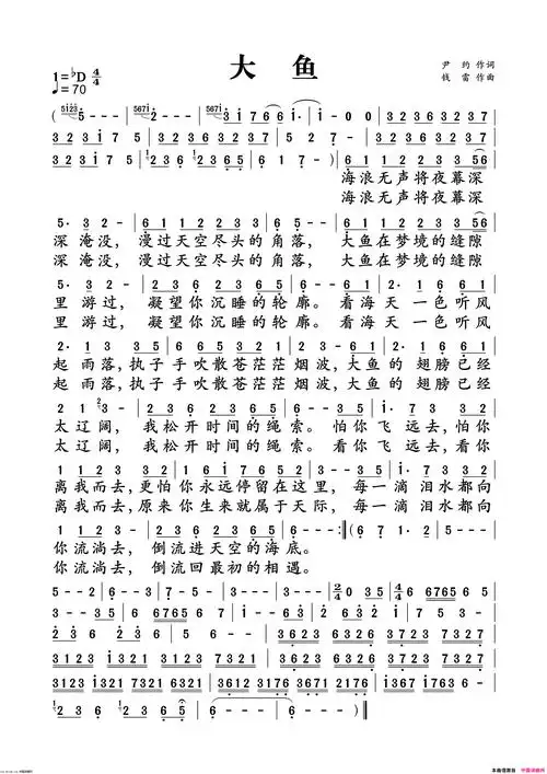
大鱼简谱-周深演唱1

用卡纸折出来的宝剑简单又好看手工折纸手工diy创意手工

音乐分享老李抛梨

英雄联盟大乱斗ap努努怎么玩 乱斗ap努努玩法攻略

石家庄二中校服夏季学生礼服男女初高中学蓝色学生校服