八歧邪神(登场:霹雳天命之仙魔鏖锋2第5章),阿婆主:鷇叔家的喵舞

相关图片

htc霹雳2壁纸

深圳2区锦绣中华出售120无级别霹雳

霹雳天命之战祸邪神2破邪传

二手htc droid incredible 4g lte/不可思议3代秒霹雳2first one

2,匪帮来袭 [加]弗朗西斯·曼纳普 ,[美]布莱恩·布切拉托 ,[加]

随机推荐

金牛座女生生日插画

袁冰妍貂蝉拜月换上古风bgm加上戏曲风舞蹈白衣调色柔媚的古典美人

向日葵告诉我们,只要对着阳光努力向上,日子就会.

美的炒锅家用炒菜菜锅不锈钢健康涂层不花cj32work503d炒锅

how to love (现场演唱会版本)钢琴谱-鸠玖 钢琴陈老师-虫虫钢琴

山东中沙海西寺阿訇联谊会取得圆满成功

共青团管理制度图片

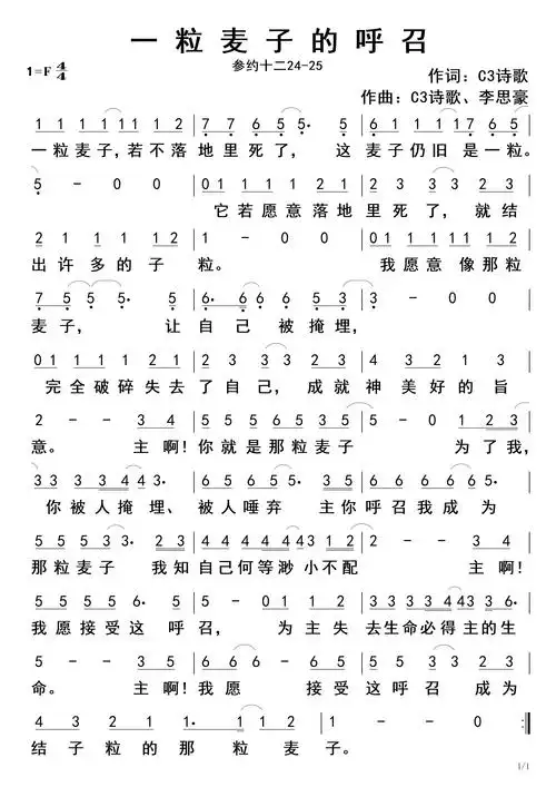
一粒麦子的呼召 官方简谱_简谱_乐谱吧