小鬼王琳凯

相关图片

全世界最可爱的王琳凯

听说今天小鬼王琳凯的偶像包袱掉了一地明明是可爱100昏lofter达人nn

稿子 #绘画 #q版 #小鬼王琳凯 #我来更新了 这个不是 - 抖音

q版王琳凯简笔画

听说今天#小鬼王琳凯# 的偶像包袱掉了一地明明是可爱100昏lofter达人

随机推荐

少女心情侣头像二次元动漫甜蜜

他曾经是中国那个年代中国中最帅最受欢迎的男明星,他的地位不亚于

现代简约猫抓布沙发2023新款猫爪绒中小户型脚踏家用网红沙发组合

情侣头像一对两张这篇句句肉麻的情话短句

水手服少女插画图片壁纸

北漂 #北京刚需买房 #户型改造 #一居改两居 #玻璃隔断

离婚之后,王媞没有经济来源,花钱习惯大手大脚的她

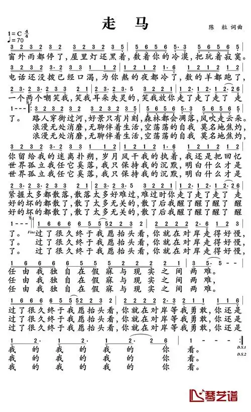
蝴蝶歌词简谱歌谱-苍强曲谱