内娱眼泪女王#·#刘忻 小哭包#一句多年前的鼓励,一声多年后的"小鬼"

相关图片

小鬼爸爸妈妈上台 响起了张悬的宝贝这首歌 拥抱了爸爸妈妈,从幸福的

展开说 一,春色 李现周雨彤你们这哪里是新浪扫楼啊,这捧花照片

原创设计buttgoods哭泣的小鬼胸针 男女包衣服徽章 个性搞怪礼物

时代少年团新歌的制作人是小鬼##小鬼把更多时间花在音乐上#我真悼揶

小鬼童年照曝光了,小时候真软萌,但主持人一句话把他谈哭了

随机推荐

还记得胡歌,彭于晏.组成的史上最帅伴郎团吗

为等初恋单身28年,他捐光上亿资产:"唱一辈子情歌,却留不住她"|张信哲

【美图】世界上最美的微笑!

我们来看看都有谁吧~目前确定参加2017维密秀的中国模特有6名taylor

南笙

烟雨江南配乐成品 烟雨江南led大屏幕背景视频 中国风 旗袍秀背景

jennie最长4天半没睡觉,金智媛睡六个小时被嘲是"瞌睡虫"|jennie

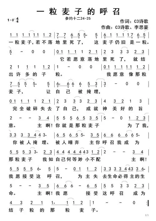
一粒麦子的呼召 官方简谱_简谱_乐谱吧