韩式婚纱照的发型

相关图片

摄影发型作品照

发型

ai发型设计相机v1.0.0-一键匹配属于你的专属发型截图1

短发复古拍摄新娘整体设计

发型

随机推荐

剪一次就喜欢上的10款锅盖发型,轻松干练又显脸小,显气质又好看插图2

蔡徐坤vs周深,偶像派和实力派的碰撞,两人形成的最萌身高差也太可爱了

周边光圆寸头发型就是把周围的头发都剃得很短,基本上接近于推光的

美的电热水器安装图具体的安装步骤是什么

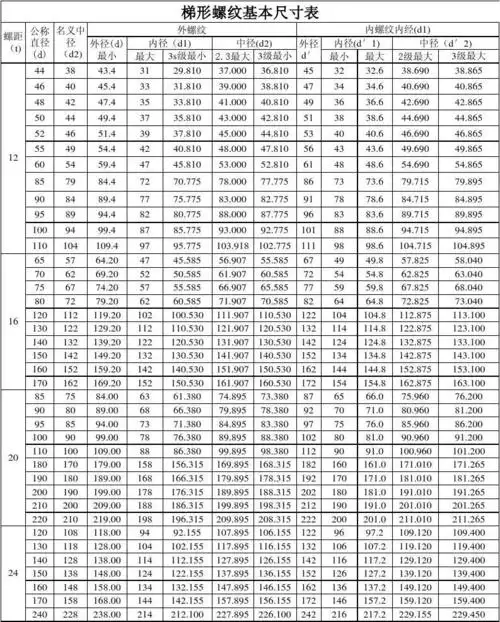
梯形螺纹基本尺寸表12-24

满屏水印png图片提供免费下载的机会,更多满屏水印设计图片快来千库吧

草原歌手都兰娜我的草原我来唱唱出草原歌手情怀

凶猛的老虎素材图片桌面壁纸