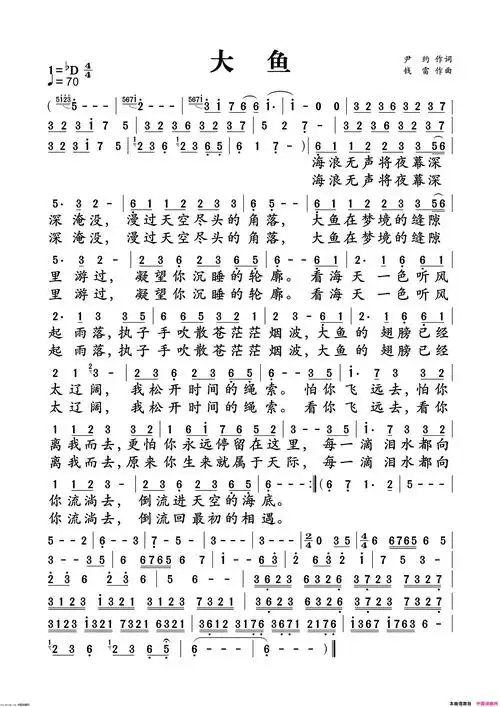
《大鱼》简谱

相关图片

大鱼古筝简谱 有不会的可以在评论里告诉我哦喜欢就点个赞吧!

大鱼 简谱分享 大鱼海棠主题曲 大鱼 简谱分享

《大鱼》简谱动听 双手简谱

竹笛谱|大鱼海棠 简单易吹版 c调筒音做5 【分享的乐谱都可以长按下

大鱼《大鱼海棠》简谱

随机推荐

蔡依林专辑《ugly beauty》海报

优雅的荷叶袖雪纺衫,不经意间流露出女人成熟的魅力

【登泰山看日出】12月19-20日登泰山 看日出 赏雪景 - 美篇

杨幂为何不愿生二胎?看到她罕见的露肚皮照,是我看错了吗?

就很温柔帅气的男生头像来啦

55岁民歌皇后张也:单身22年无婚无子,与男闺蜜相伴21年却不结婚

张静初出席活动 优雅冻龄尽显绝佳气质_凤凰网娱乐_凤凰网

赵粤姐姐妹妹的武馆# [给你小心心]#赵粤牛. 来自爱甜不甜_s - 微博