下载283恩主耶稣我愿进到祢的爱里歌谱

相关图片

《恩主耶稣》简谱

赎罪的羔羊 得着耶稣真有福气,世上的荣华怎能相比,主已拣选我,必救我

下载677恩主啊歌谱

文档 所有分类 工作范文 演讲/主持 2010年会歌本 我们应当靠着耶稣

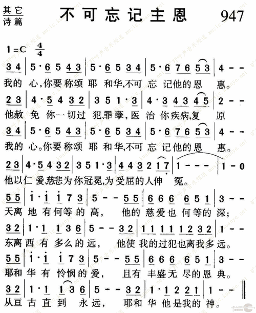
下载947不可忘记主恩歌谱

随机推荐

浅蓝色布料背景图片,高清图片

小知识佟丽娅什么民族出生锡伯族的佟丽娅个人资料简介

鬼女

刘敏涛嫁豪门独守空房7年离婚后重返荧屏今女儿成她的骄傲

原创那英52岁还这么活泼穿撞色大衣内搭黑色套装帽子东北范儿十足

的海滩背景白色沙热带天堂岛与蓝天大海水海洋 4 k 粉红色鲜花短视频

影响酶促反应速度的因素

心脏纹身图案推荐个性纹身图案