bpmn(业务流程模型和符号)可以让你通过简单的流对象图形(如任务,子

相关图片

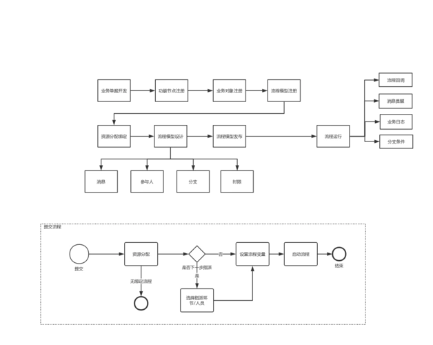
bpm开发流程

bpmn示例图

bp神经网络模型流程图

bpm业务流程系统的八大好处

io画bpmn2.0业务流程图

随机推荐

气质男神 #军装照 #英姿飒爽 #帅气十足 #百看不厌 - 抖音

立绘习作|插画|游戏原画|哇靠靠 - 原创作品 - 站酷 (zcool)

平行时空下科比的名人堂演讲

张韶涵最新超高清美图

《锦心似玉》资料—中国—电视剧—优酷网,视频高清在线观看—又名

肖邦《幻想即兴曲》《幻想即兴曲》肖邦一共写了四首即兴曲,升c - 抖

40岁女人全烫中长卷发型(四十岁的女人发型减龄时尚些) - 来梅号

我可以喜欢你么 - 揉脸脸表情包第二弹