《头文字d》高桥凉介:那一年,我爱上了在罗森门口喝可乐 - 知乎

相关图片

头文字d公路传说 高桥凉介前期配置fc3s赤城下山_哔哩哔哩bilibili

《头文字d》高桥凉介 马自达 rx-7 fc3s 重置版 绘制过程

头文字d 高桥凉介讲解转子引擎的美妙之处

周末改装车集锦177期 头文字d第5部(2)

头文字d高桥凉介启介rx7fc3sfd3s疾走咆哮

随机推荐

网友:撞脸不可怕,谁土谁尴尬,这几对长得像的明星,有时候就是这么离谱

全面屏手机高清唯美壁纸

咕咕爱儿童汉服男中大童汉服男童少爷服儿童国学古装演出服唐装2021

不正经害羞脸动漫女生头像图片

1920_1080

独角兽壁纸梦幻的一切都给你

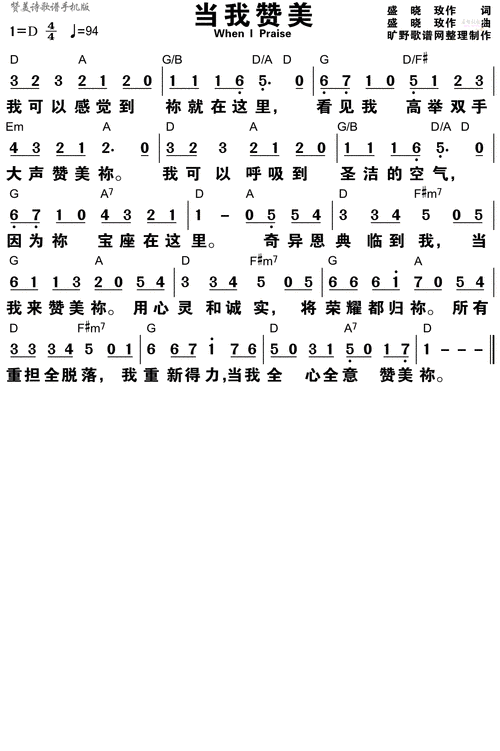
当我赞美简谱歌词 - 苹果dj站曲谱-pc.pingguodj.com

狙击生死线演员表_狙击生死线演员表角色介绍_电视剧_吉剧网