26岁长发窦靖童!长得像王菲还是窦唯?

相关图片

窦靖童与王菲亲密同框

王菲 #窦靖童 童童&菲妈7815 - 抖音

窦靖童是王菲和窦唯的大女儿,从小就有着独特的个性和音乐风格,虽然没

4月6日,王菲大女儿,凌晨发文!|李嫣|窦靖童|现场照_网易订阅

王菲看窦靖童的眼神太有母爱了![得意]

随机推荐

刘亦菲与杨颖同框 大家更pick哪一个?

南通市天星湖中学(南通市天星湖中学网站)

29岁的刘德华遇上22岁的吴倩莲,结局太惨!《灰色轨迹》回忆满满

"三个半人蛇美少女好漂亮~.

54岁田震近照 网友:保养得真好 风韵十足

经典老电影小兵张嘎地道战董存瑞钢铁战士铁道游击队牛皮纸海报5

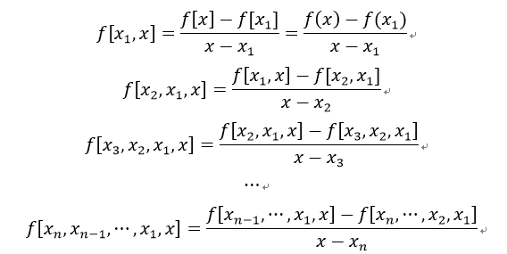
②公式推演牛顿(newton)插值公式是代数插值方法的一种形式

恶魔类