最后把这首歌《少年》的歌词送给同学们!

相关图片

《少年》原唱是梦然.#梦然 #原创歌曲 梦然,1989年3 - 抖音

你还是从前那个少年吗?

《少年》歌曲教学,安排上了!绝对干货满满

梦然丨少年丨mv

分享一首好听的歌曲《少年》_哔哩哔哩_bilibili

随机推荐

茄子品种推荐:哪款是你的心头好?

霸气动漫女生头像可爱高清图片 霸气中带点可爱_女生动漫头像_头像屋

杨洋时尚芭莎十一月刊封面##杨洋冬日惬然芭莎大片

手捧花钻戒3克拉

赵丽颖素颜照,她圆圆的脸给人很亲切的感觉特别可爱

45 人赞同了该文章莫憾平生意

壁纸,桌面,背景碧海蓝天

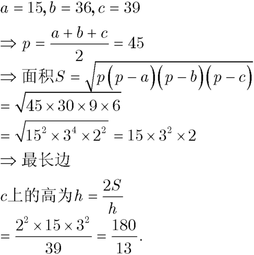
已知三角形的三边长分别为15,36,39求这个三角形的最长边上的高