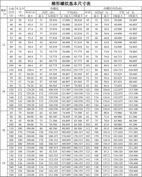
梯形螺纹基本尺寸表12-24

相关图片

机械/仪表 螺纹表 公制粗螺纹 美制细螺纹 2级牙钻孔径 标准径 规格

英制螺纹规格表

公制螺纹尺寸表

公制螺纹明细表

公制粗/细螺纹

随机推荐

我的梦想儿童画

《大美为真》中国当代书画名家学术邀请展—王燕民

咱们就先从简单的男士发型开始说起吧,男士寸头显精神好打理,是大多数

2024北京高考数学试卷填空压轴题,数列综合,函数思想,"妙"与"秒"

蔡徐坤金发

典型病历点状掌跖角化症

揭秘十位家世背景显赫的明星 这10位明星的家世背景都十分显赫,包括

色系搭配技巧服装知识(穿搭颜色搭配表及效果图片)(12)