肖战胸肌

相关图片

肖战胸肌见客##星姐微博

[肖战][分享]200606 肖·胸肌瞩目·战合集分享 肉体饭速速集合!

肖战超话#肖战#壮硕的胸肌 呼之欲出!肖战好威猛啊啊啊啊啊啊啊!

《梦中的那片海》肖战壮硕胸肌藏不住 他与李沁洞房夜「包紧紧」引

肖战沧桑憨厚的脸庞,结实发达的胸肌,这是你心目中的郭靖吗[思考]

随机推荐

清新绿色护眼植物高清桌面壁纸

卡通gif女孩gif哭泣gif可爱gif

在碗里的q版可爱猫耳女孩头像06|粉彩画 78可自行拿图自用 78

男主精心为女友准备的生日惊喜粉色温馨浪漫#酒店房间生日布置 #民宿

韩系情侣头像两张双人高清图片唯美浪漫真人高清微信图片大全

出生于辽宁营口,毕业于沈阳音乐学院,中国内地流行乐男低音歌手

英雄联盟塞拉斯

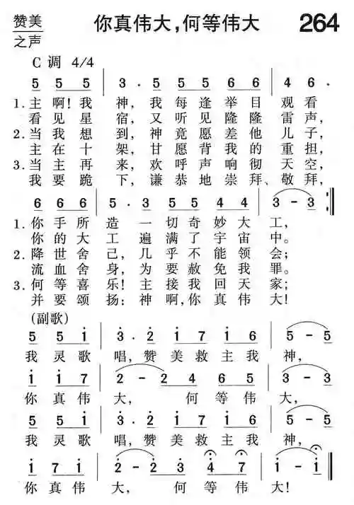
第264首你真伟大何等伟大