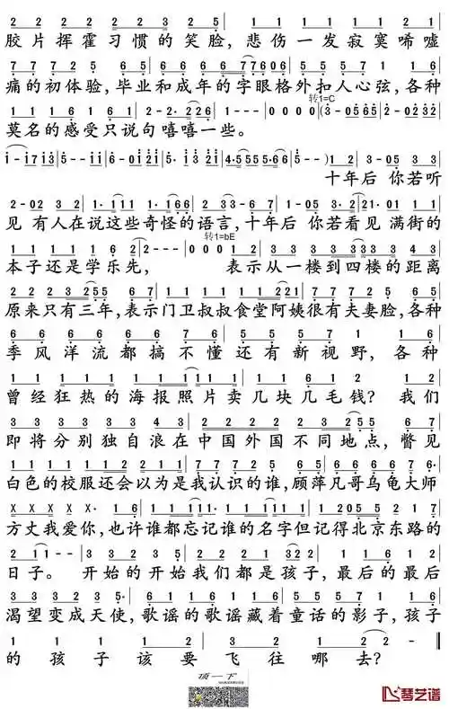
北京东路的日子-很好听的歌曲双手简谱预览6

相关图片

《北京东路的日子》完美演奏版-汪源双手简谱预览4

《北京东路的日子》完美演奏版钢琴简谱-数字双手-汪源2

北京东路的日子简谱

北京东路的日子双手简谱和五线谱是完全对应的,是eop教学曲.

北京东路的日子简谱-华语群星演唱-孙世彦制谱2

随机推荐

tfboys王俊凯最新帅气图片壁纸

朋友圈背景图成熟是给陌生人看的

蒋勤勤费加罗裸妆大片

舌头的线稿画法教程 93p1画师 99 53493275 94 93

作品名称:水彩—树丛

17岁那一年我写了一篇自传

当下最火女发来了,两侧掏空推后脖短发,喜欢别错过

励志唯美文字图片 做对的事情比把事情做对重要 - 文字图片 - 爱图片