臣轩新品春秋夏季丝绸性感睡衣女***情趣吊带裙冰丝睡裙薄款睡袍 - 17

相关图片

包邮 超大码200斤性感诱惑情趣睡衣冰丝两件套装女吊带真丝绸睡裙睡袍

韩版女装真丝情趣性感美丽吊带丝绸睡衣冰丝睡裙

臣轩新品丝绸性感睡衣女***情趣吊带裙春秋夏季冰丝睡裙薄款睡袍 - 17

法国kj春夏仿真丝睡衣女性感长袖吊带两件套装睡袍情趣睡裙蕾丝绸家居

新款女士性感仿真丝睡衣重工刺绣吊带睡裙两件套长袖睡袍套装

随机推荐

李敏镐韩国男艺人手机壁纸-明星-壁纸下载-美桌网

选购参数标准三,电压力锅都有哪些品牌四,高性价比的电压力锅都有哪些

今年短发流行这样染 挂耳染酷帅仙美_发型站_最新流行发型设计发型

变压器在电路图中的符号

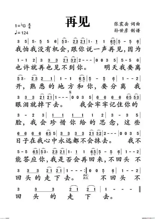
流行笛子曲再见笛子演奏d调筒2

蔡徐坤 - 堆糖,美图壁纸兴趣社区

故宫游4

梁冠华