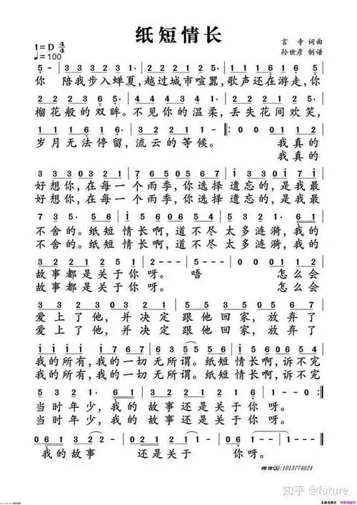
经典歌曲曲谱大全流行歌曲简谱合集

相关图片

2020年流行歌曲你莫走歌曲简谱送给大家

经典歌曲曲谱大全流行歌曲简谱合集

流行歌曲简谱1

经典歌曲曲谱大全_流行歌曲简谱合集

2020流行歌曲简谱100首2020流行歌曲简谱流行歌曲简谱100首求24孔口琴

随机推荐

jj新专上线q音,双语神作,诉说伟大的渺小

易烊千玺to签合集温暖回忆来袭, 易式字体记载了对粉丝满满的爱

红色钢琴图片_红色钢琴高清图片_全景视觉

【aph/黑塔利亚】黑塔利亚☆jet[联五 轴三(罗马诺) 微型国家 (结尾

高清壁纸 #治愈系壁纸 #壁纸 #治愈自己 #壁纸 #文字壁纸

20220425曹佑宁ins更新

蒋申街拍:浅粉色羊羔毛卫衣 毛绒挎包软萌可爱

动漫粉发美女插画桌面壁纸