北师大七年级数学下册几何常见模型练习题有答案

相关图片

2021深圳罗湖七年级下册数学期末考试卷

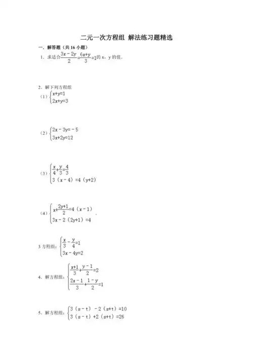
七年级下册二元一次方程计算题含答案

新人教七年级下学期数学提高题含答案

七年级下册数学重点题练习.doc

初一下数学试卷

随机推荐

满怀希望就会所向披靡#人鱼线 #马甲线 #腹肌 - 抖音

抽烟白胡子小矮人圣诞老人树脂工艺品落地侏儒摆件竖中指手势老头

【麟凤】羽钿坊原创古风配饰男子束发冠古装汉服男款发冠金色男冠

高清护眼绿色草原图片桌面壁纸

勋兴

嘉实多磁护全合成机油5w-30 4l sp级a5/b5汽油发动机润滑油正品

携程国际版logo设计

情侣间最佳身高差是多少六种身高差解析奉上