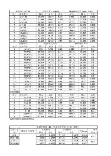
英制螺纹对照表

相关图片

公制螺纹明细表

请问rp3/8圆柱内管螺纹用什么加工方法加工?

(共5页,当前第1页) 你可能喜欢 英制螺纹标准 美制螺纹标准对照表

英制螺纹对照表2016年完整版xls

公制美制英制螺纹对照表.xls

随机推荐

葫芦丝怎么吹生日歌

谭咏麟 - 情凭谁来定错对 1994纯金曲大球场演唱会

2227 宋代 官窑纸锤瓶

鸡毛飞上天:陈江河死到临头,骆玉珠盛装打扮,来见他最后一面

《小舍得》百度云(全1-42集全)网盘下载【1280p国

金晨胡夏恋爱已见父母准备结婚再到被分手网友是才最忙的

一眼沦陷的动漫男头超级难忘

神偷奶爸: 艾格尼丝的自行车瞬间变成了超酷机甲,小黄人是天才吧