《走马》陈粒|拇指琴谱 曲谱说明:遇到02020202020202

相关图片

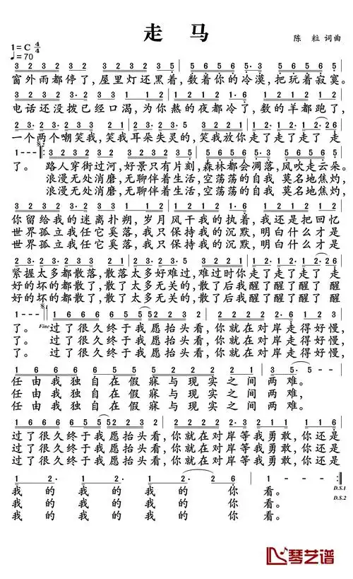
走马(陈粒词曲)_简谱

走马 陈粒c调六线吉他谱-虫虫吉他谱免费下载

陈粒《走马》的歌曲完整简谱

陈粒走马标准乐队伴奏总谱吉他谱

陈粒走马吉他谱无限延音编配版

随机推荐

pcstar##刘亦菲##刘亦菲迪士尼公主出场

孙红雷冷酷霸气头像大全点击鼠标右键下载

kuanlin奶罐赖冠霖金发小王子

字体和句子一样很美的文字图片

上海法式别墅看房记95便宜到不可思议98感谢国家感谢党7815

格子毛料西装外套女小个子修身短款秋冬洋气显瘦加厚外穿休闲西服

花美男 #妖扬#王敬轩 - 抖音

矢量冬天女士小棉靴