晴天c调转调半音阶口琴

相关图片

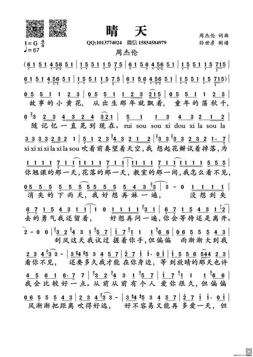
晴天简谱第1页

晴天钢琴简谱

晴天周杰伦数字简谱

周杰伦晴天c调简单版简谱

《晴天》演唱简谱需要的拿走

随机推荐

没想到53岁的于和伟以这种方式给娱乐圈的中年演员提了醒

有一种韵味叫周冬雨穿旗袍,举手投足风情万种,气场太强了_手机搜狐网

女生头像霸气超拽高冷天暗下来你就是光

古力娜扎牛仔短裤时尚搭配

黑色经典商务名片设计模板|经典的黑色名片 - 多多印网

动漫男生头像丨享受孤独 这是生命的代价一个人孤独的唯美头像男生

格力i铂铂金气质优雅尊贵

凉鞋男童凉鞋夏季小学生中大童儿童时尚软底男孩露趾沙滩鞋子oothc