可爱小幽灵头像简笔画

相关图片

中元节手绘卡通可爱幽灵

幽灵表情包 | 你有一只可爱幽灵待签收 可可爱爱的幽灵表情包

万圣节幽灵表情

免抠元素可爱搞怪幽灵鬼魂表情包

q版幽灵灵魂出窍卡通gif动图表情包

随机推荐

边伯贤becauseloveueveryday禁欲卡点顶胯

满身赘肉张雨绮土气的马伊琍把她们的中年尴尬体现的彻底

李小璐十年前旧照曝光 除了一个地方其它都变样了

杜淳晒健身照,衣服完全湿透腹肌依稀可见,胡子拉碴亮点十足!

魔想志津香立绘.png

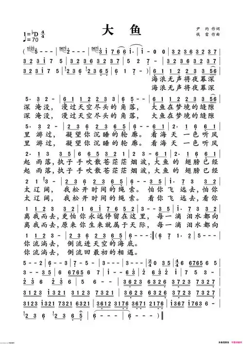
大鱼简谱-周深演唱1

快乐卡通国王-孤立性

广汽丰田 雷凌 2022款 185t cvt豪华版