各位漂亮的妈妈们,有没有想着为你家儿子换上一款帅气发型呢?

相关图片

假发男宝宝短发中分可爱婴儿纹理烫帅气自然小男孩发型正太全头套

发型穿搭不输小鲜肉,他才是全网最靓的崽_男童童装_童之路校服_幼儿园

适合小男孩的帅气短发 这么剪发型酷炫十足-儿童发型-发型站

帅气小男孩短发 清爽绅士又时髦_儿童发型 - 美发站

越剪越有型小男孩发型20多款,帅气可爱真时尚,妈妈们快快收藏吧

随机推荐

如果迪丽热巴小时候网络发达估计也是好多人的云养娃了@dear-迪丽热巴

高清好看的可爱女头粉色系二次元图片_女生动漫头像_头像屋

3-6岁男童简易手工坦克 - 抖音

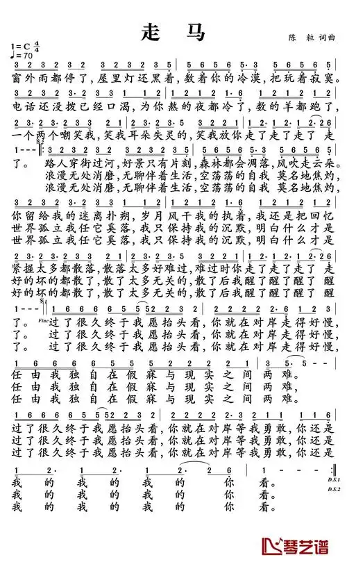
走马简谱-陈粒-散了后我醒了醒了醒了1

黑白个性头像女生气质高冷,伤感女生黑白头像高冷

同样的身高,比例很重要,而腿长的男生通常要比上身长的男生更加显高

活动作品永幸cp反61转savage

主持人陈辰:与程雷相恋7年遗憾分手,44岁高龄为小丈夫生二胎_余笛