《商业模式创新研讨会》【凯洛格2018公开课】

相关图片

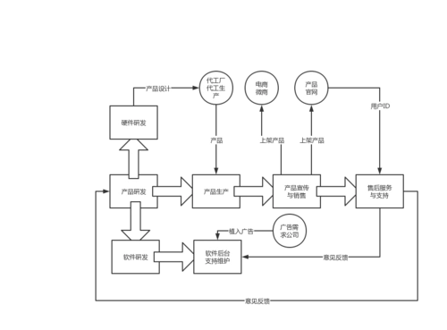
商业模型怎么画?5步教你分分钟完成模型图

商业模式最好的

如何用一张图描绘出正确的商业模式?

商业模式

盈利模式的核心模型导图

随机推荐

有哪些适合男生的手机电脑壁纸

微信明星头像孙俪

12星座公主古装美女图片(十二星座q版人物萌图)-图18

霸气高冷动漫女生头像霸气高冷动漫女生头像帅气

漫改网剧《棋魂》圆满收官 张超动人演绎千年棋圣 - acfun弹幕视频网

来自隋雨辰will - 微博

定制假发男短发纹理烫男士假发帅气韩版假头发自然蓬松真发头顶补发片

"不婚族"万茜:我这一生最正确的决定,就是嫁给普通摄影师老公