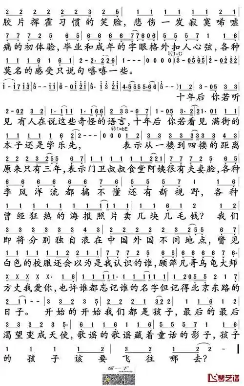
北京东路的日子

相关图片

《北京东路的日子》_歌谱简谱_歌词简介_曲谱资料

北京东路的日子简谱

北京东路的日子

北京东路的日子简谱歌词华语群星-北京东路的日子词:汪源曲:汪源编曲

北京东路的日子简谱

随机推荐

哆啦a梦 - 堆糖,美图壁纸兴趣社区

古力娜扎甜美短发美照手机壁纸下载

铁血丹心_简谱

集美们谁有山河令的高清壁纸啊康康孩子吧

儿童内裤婴儿大小女童平角裤可爱卡通内裤女孩四角短裤小学生莎丞

中国好声音张恒远早逝张碧晨吴莫愁可惜周深落选却最红

踪_林忆莲__高音质在线试听_失踪歌词|歌曲下载_酷狗音乐失

适合女生纹身的位置当然是锁骨自由自在