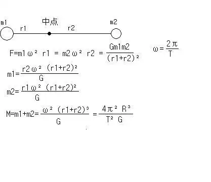
双星模型: 在天体模型中,将两颗彼此距离较近的恒星称为双星,如 图 4

相关图片

专题双星模型课堂ppt

> 双星模型

9双星模型

【孩仕宝】玩具模型 f.zero 双子星 双星仙子 pastel 手办 万代

天体里的双星系统(很

随机推荐

王源表情包:大声说出我们的口号,王源最刚!

时尚芭莎|肖战 - 堆糖,美图壁纸兴趣社区

古装造型 #古风 #张予曦草色烟光残照里,无言谁会凭阑意. - 抖音

拿了冠军去给龙嫂露姐买包,然后带着儿子去拿冠军|许昕|林高远|女单

杜海涛

老版火箭少女101套装其实是免费送的!

但是不可否认她的歌曲实力,目前在华语女歌手排行中,任然第一!

彭冠英发文说不去法国了#@彭冠英发微博晒写真,一身黑色长袍 扇子